Acrilamida, pericolul din farfurie.


                                                                               

 

EFSA a aprobat limitarea continutului de acrilamida in produsele alimentare tratate termic.

Innovase ASP P - Solutia Muehlenchemie pentru reducerea continutului de acrilamida.

Reprezentanții statelor membre au votat, pe 19 iulie 2017, în favoarea propunerii Comisiei Europene privind reducerea prezenței acrilamidei în produsele alimentare. Odată implementate, noile reglementări le vor impune companiilor din sectorul alimentar să ia măsuri pentru a limita această substanță cancerigenă din alimente.

Textul aprobat pe 19 iulie va fi transmis Consiliului și Parlamentului European. Cele două instituții au la dispoziție trei luni pentru a-l examina, după care el va ajunge din nou in atentia  Comisiei pentru a fi aprobat. Intrarea în vigoare ar putea fi prevăzută pentru primăvara anului 2018.

 In 2002, cercetatorii Universitatii din Stockholm, descopera existenta acrilamidei in mai multe produse alimentare supuse tratamentelor termice (coacere, prajire). Ca urmare a acestui studiu Organizatia Mondiala a Sanatatii (WHO - World Health Organization) recomanda continuarea studiilor pentru a evalua riscul chimic (CRA) al expunerii populatiei la acest compus si elaboreaza metode de detectie a acrilamidei, urmate de inceperea procesului de informare si educare a consumatorilor privind pericolul acrilamidei din alimente.

Conform infograficului lansat de European Food Safety Authority (EFSA), oamenii de stiinta au ajuns la concluzia ca acrilamida din alimente poate creste riscul de cancer la consumatorii de toate varstele, copiii fiind insa cei mai afectati.

Autoritatea Europeană pentru Siguranța Alimentară (EFSA) a confirmat, in 2015, faptul că acrilamida este o substanță cancerigenă și că actualele niveluri de expunere alimentară la aceasta sunt ingrijoratoare. De asemenea, EFSA a declarat că nivelurile de acrilamidă nu au scăzut substanțial în ultimii ani.

Studiile pe animale au demonstrat impactul dereglant al acrilamidei asupra materialului genetic (ADN, ARN)  si sistemelor neurologice si reproductive, cunoscut fiind faptu ca modificarile ADN-ului sunt cauza majora a formarii tumorilor.

In urma rezultatelor studiilor asupra prezentei acrilamidei in organismul uman s-a ajuns la concluzia ca aceasta dezvolta riscul de formare a tumorilor la nivelul rinichilor, ovariene sau endometriale.

Dar ce este acrilamida?

 Acrilamida este o substanţă puternic oxidantă (pro-oxidantă), mutagenă şi neurotoxică, rezultată din degradarea amidonului sau ale altor poliglucide, la temperaturi înalte (mai mari de 120ºC). Descoperita la sfarsitul secolului al XIX-lea, abia in 1950 s-a reusit prima polimerizare, cu obtinerea poliacrilamidei, cu largi utilizari industriale.

Pana la inceputul acestui secol insa nimeni nu banuia prezenta acestui compus si in alimente.

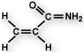
Formula chimică: acrilamida este o amină (conţine o grupare aminică -NH2), având formula generală: C3H5NO, si formula structurala :

Acrilamida se formeaza in timpul procesarii alimentelor, ca urmare a unui şir de reacţii de deshidratare şi de reducere (reacţia Maillard) dintre glucide si aminoacizii prezenti in alimentele care contin amidon. Combinarea la temperaturi inalte a acestor substante determina brunificarea produsului si schimbarea aromelor.

Din amidonul care se descompune treptat dar rapid, rezultă compuşi di-carbonilici, care se combină cu asparagina sau cu alţi aminoacizi liberi, pierzand molecule de apă.

Se formează baza Schiff, care reducându-se, trece în compuşi intermediari, din care se generează apoi, pe 3 căi posibile, acrilamida.

Cele 3 condiţii majore pentru formarea acrilamidei:

1) prezenţa unor carbohidraţi macromoleculari (mai ales amidon);

2) existenţa unor aminoacizi - mai ales asparagina, chiar şi în cantităţi neinsemnate (prezenti în făină, cartofi şi carne);

3) procesarea la temperaturi de peste 120 ºC.

Solutia noastra:

Adaugand enzima asparaginaza inainte de coacerea sau prajirea alimentelor, asparagina este transformată într-un alt aminoacid comun, acid aspartic și amoniu.

Ca urmare, asparagina nu poate lua parte la reacția Maillard și formarea acrilamidei este redusă semnificativ. Înlăturarea completă a acrilamidei este probabil imposibilă din cauza altor căi de formare, independente de asparagină.

Ca ajutor de procesare a alimentelor, asparaginazele pot reduce în mod eficient nivelul de acrilamidă până la 90% într-o gamă de alimente amidon, fără a schimba gustul și aspectul produsului final.

Innovase ASP P

Asparaginaza microbiană pură

Caracteristici :

Innovase ASP P este o enzima pulbere, obtinuta prin metoda de cultură submersă a tulpinei Aspergillus oryzae, care catalizează descompunerea asparaginei, reducând sau prevenind astfel formarea acrilamidei din asparagină și zaharuri reducătoare, în cursul reacției Maillard.

Origine selectată : Aspergillus oryzae (GRAS)

Aplicații :

Reducerea sau prevenirea formării acrilamidei în tratamentul termic.

exemplu

• coacere, în special biscuiți, crackers, napolitane și pâine

• prajire, în special cartofii prăjiți

Proprietăți :

  •  ph optim: 6 - 7
  •  Temperatura optimă: 55 - 60 ° C

În studiile cu crispbread, Innovase ASP a redus concentrația de acrilamidă la mai puțin de 25% din nivelul inițial, iar în napolitane a scăzut la mai puțin de 10%.

 

 

Surse:

http://muehlenchemie.de/english/products/index.html

http://europa.eu/rapid/press-release_IP-17-2028_en.htm

https://ec.europa.eu/info/law/better-regulation/initiatives/ares-2017-2895100_en

a href="http://www.fooddrinkeurope.eu/uploads/publications_documents/biscuits-EN-final.pdf">http://www.fooddrinkeurope.eu/uploads/publications_documents/biscuits-EN-final.pdf

https://en.wikipedia.org/wiki/Acrylamide

https://en.wikipedia.org/wiki/Asparaginase

 

 

 


The right ingredients for success!